1401 放射性药品检定法
放射性药品系指含有一种或几种放射性核素供医学诊断和治疗用的药品。放射性药品的生产、经营、检验、使用等,应遵照《中华人民共和国药品管理法》和中华人民共和国国务院颁布的《放射性药品管理办法》的有关规定办理。
一、有关术语及其含义
核素 系指有特定质量数、质子数和核能态,而且平均寿命长到足以被观察的一类原子。
同位素 系指具有相同质子数,但质量数不同的核素。在元素周期表中处于同一位置,称为该元素的同位素,或彼此是同位素。
放射性和放射性核素 某些核素自发地放出一种或几种粒子或γ射线,或在发生轨道电子俘获后放出X射线,或发生自发裂变的性质称为放射性。具有放射性的核素称为放射性核素。
放射性衰变 系指放射性核素自发地放射出一种或几种粒子或γ射线,转变成为另一种核素或同种核素另一种能态的现象,亦称衰变或放射性蜕变。主要衰变方式有:α衰变、β-衰变、β+衰变、核外电子俘获以及γ跃迁和同质异能跃迁。
放射性衰变规律 系指放射性核素衰变遵循的规律,即指数衰变规律:
Nt=N0e-λt
式中 Nt为经过t时间后的放射性核素的原子数;
N0为t=0时间的放射性核素的原子数;
λ为放射性核素的衰变常数;
t为经过的时间;
e为常用对数的底。
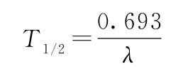
半衰期 系指放射性衰变过程中放射性核素的原子核数目衰变到原来的一半所需要的时间,常用(T1/2)表示。每种放射性核素都有特定的半衰期,它与该放射性核素的衰变常数(λ)关系如下:

放射性活度 系指每一种放射性核素每秒的原子核衰变数。计量单位以贝可(Bq)计,1Bq=1次核衰变/秒。常用的单位还有千贝可(kBq)、兆贝可(MBq)、吉贝可(GBq)。
比活度 系指某一种放射性核素的元素或其化合物的单位质量的放射性活度。
放射性浓度 系指溶液中某一放射性核素单位体积的放射性活度。
放射性核纯度 系指某一指定放射性核素的放射性活度占供试品放射性总活度的比例(%)。
放射化学纯度 系指某一指定化学形式的放射性核素的放射性量占该核素总放射性量的比例(%)。
载体 系指放射性核素或其化合物中加入或存在该核素的稳定核素或其化合物。
二、鉴别试验
放射性药品的鉴别分为放射性核素鉴别和品种鉴别,后者可采用放射化学纯度项下的方法进行。
放射性核素的鉴别系利用每一放射性核素的固有衰变特征,定性辨认核素。精确测量放射性核素的半衰期、质量吸收系数或γ射线能谱,是鉴别放射性药品的基本手段。
1.γ谱仪法
测得的放射性核素γ射线能谱应与该核素固有的γ射线谱一致,其主要光子的能量应符合该品种项下的规定。
取供试品,用碘化钠或高纯锗半导体为探测器的多道γ谱仪,经过已知能量的γ射线系列源进行能量刻度,即可测量放射性药品中核素的γ射线能谱。
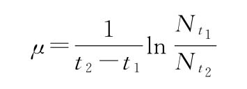
2.半衰期测定法
根据放射性核素的性质,选择合适的探测仪器,根据仪器的测量范围和核素半衰期,将适量供试品制成一定形态的源,并保持源与仪器探测的几何条件不变,然后按一定时间间隔测量计数率,测定次数不少于3次,测定时间不低于固有半衰期的1/4。以时间为横坐标,测量的计数率为纵坐标,在半对数坐标纸上作图,由图计算直线斜率,得到半衰期T1/2,与其固有的半衰期比较,误差应不大于±5%。
测量过程应注意以下几点:
(1)测量仪器保持长期稳定性;
(2)保持测量装置的几何条件不变;
(3)根据放射性活度强弱,注意死时间校正。
注:几何条件 放射性核素有关刻度和测量的有效性(重复性)取决于源与探测器及其几何条件的可重现性。因此,在实际测量中应严格保证一致性。
死时间校正 死时间或失效时间τ系指探测系统能记录下来的两个相邻脉冲所需要的最小时间间隔。在实际测量时,如果计数率相当高,则必须加以校正,以求得真正的计数率。实测计数率m和真正计数率n的比,称为死时间校正因数fτ:

3.质量吸收系数法
一般用于较长半衰期的纯β放射性核素。以32P为例:将32P溶液制成一个薄膜源,置于合适的计数器下(约20 000计数/分),选择重量厚度20~50mg/cm2各不相同的至少6片铝吸收片和一块至少800mg/cm2的铝吸收片,单独并连续测定计数率。为了减少散射效应,样品和吸收片应尽可能地接近探测器,各吸收片的计数率减去800mg/cm2或更厚吸收片的计数率,得到净β计数率,净β计数率的对数对总吸收厚度作图。总吸收厚度为铝吸收片厚度、计数器窗厚度和空气等效厚度[101kPa(760mmHg)、20℃条件下,样品与计数器之间的距离(cm)乘以1.205mg/cm3]之和。吸收曲线近似直线。
选择相差20mg/cm2以上两种不同的总吸收片厚度值,均应落在吸收曲线的直线部分。照下列公式计算质量吸收系数:

式中 t1、t2分别为较薄和较厚总吸收厚度,以mg/cm2表示;
、
分别为t1和t2吸收层相对应的净β计数率。
以上计算结果应与纯的同种核素在相同条件下测得的质量吸收系数比较,误差应不大于±10%。
三、纯度检查
1.放射性核纯度测定法
放射性药品中可能存在放射性核素杂质,必须根据射线性质及对人体的辐射危害程度,确定其限量要求,一般用测量时刻的杂质核素的放射性活度或放射性药品的指定核素的放射性活度占供试品的放射性总活度的比例(%)表示。
本法可选用锗半导体多道γ谱仪,在谱仪保持正常工作的环境条件下,固定刻度源与供试品源的形态大小及源与探测器的几何条件,并保持不变。采用已知活度和能量大小成系列的一组标准γ源,对谱仪进行能量和探测效率刻度后,根据已知的核素参数及对供试品测算的γ谱的峰面积计算,即可获得供试品的放射性核纯度。
有些放射性核素的衰变产物仍具有放射性,这些放射性核素及其衰变产物分别称为母体和子体,在计算放射性核纯度时子体不计为杂质。记载放射性核纯度时,应注明测定的日期和时间。
2.放射化学纯度测定法
放射性药品中放射化学杂质可能从药品自身分解或制备过程中产生。放射化学纯度测定过程包括不同化学成分的分离及不同化学成分的放射性测量。
一法 取供试品适量,照纸色谱法(通则0501上行法)或者薄层色谱法(通则0502)试验,必要时,可按各品种项下规定,预先在点样基线上滴上载体溶液,干后,再在相同位置上点供试品。展开后,取出,干燥,用合适的仪器测量色谱纸或者薄层板上的放射性分布,作图,计算Rf值和放射化学纯度。
放射性药品各品种鉴别项下,Rf值“约”字的含义是指测得的Rf值可在与规定值相差±10%的范围内。

二法 取供试品适量,按各品种项下规定,照电泳法(通则0541)纸电泳(湿点法)或醋酸纤维素薄膜电泳法试验,必要时,可按各品种项下规定,预先在点样基线上滴上载体溶液,再在相同位置上点供试品,点样基线应距电泳槽负极(或正极)支架1.5cm处,待电泳至规定的时间,取出,干燥,按一法测定,计算放射化学纯度。
三法 取供试品适量,照纸色谱法(通则0501上行法)或者薄层色谱法(通则0502),按各品种项下规定的多分离系统试验,试验后,取出,干燥,用合适的仪器测定每一系统色谱纸或者薄层板上的放射性分布,作图。
若放射性药品A内含放射化学杂质B和C,用分离系统一能将B与(A+C)分离;用分离系统二能将C与(A+B)分离,则放射性药品A的放射化学纯度可按下式计算而得。

A的放射化学纯度(%)=100%-[B的含量(%)+C的含量(%)]
另外,经过验证,确能有效分离各种放射化学杂质的其他分离分析方法(如高效液相色谱法、柱色谱法等),也可用于放射化学纯度测定。
四、颗粒细度测定法
对于胶体溶液或粒子混悬液的放射性药品,须测定颗粒直径及其分布。一般用电子显微镜测定直径为纳米(nm)级粒子,用普通光学显微镜测定直径为微米(μm)级粒子。
电子显微镜测定法 取镀膜后的电镜制样铜网3mm(300孔),将供试品原液或稀释液适量滴于铜网上,自然干燥后,放入电镜中观察或拍照,选择粒子分布均匀的部位,随机测量100个以上粒子的直径,经电子放大倍数、光学放大倍数折算后,确定粒子直径及分布比例(%)。
显微镜测定法 将供试品原液或稀释液适量,滴于血球计数室,置显微镜载物台上,先以目镜(×10)、物镜(×10),观察视野粒子分布的均匀程度,然后选择有代表性的部位,以物镜(×40)观察或拍照,随机测量100个以上粒子的直径,经放大倍数折算后,确定粒子直径及分布比例(%)。
五、pH值测定法
呈溶液状态的放射性药品,对其酸碱度(即pH值)均有一定要求,须控制在一定范围内。
放射性药品的pH值,可采用经校正的精密pH试纸或酸度计进行测定。
pH试纸法 取放射性药品1滴,滴于精密pH试纸上,与标准色板相比较,即为该溶液的pH值。
酸度计法 可在有防护条件下照pH值测定法(通则0631)测定。
六、放射性活度(浓度)测定法
放射性药品的放射性浓度测定采用井型电离室为探测器的活度计,所用的标准源应符合计量标准,总不确定度在±5%以下(置信概率99.7%)。仪器在使用过程中,要定期标定,确保测量的准确度要求。
1.活度计测定发射γ射线核素的放射性活度与放射性浓度
(1)保证仪器的正常工作条件,使之充分预热,并将仪器置于所测核素条件下,测定本底或进行零点调节。
(2)精确取样,根据所使用的活度计使用要求制备供试品,然后将供试品放入井型电离室,并使其几何条件与标定时相同。
(3)供试品放射性活度A,连续重复测定10次,取其平均值减去本底,即得供试品放射性活度A。
(4)供试品放射性浓度C,如下式计算:

式中 V为供试品体积。
2.活度计测定发射纯β放射性核素的放射性活度与放射性浓度
本法须用相同核素的标准源,在与供试品完全相同的条件下对活度计进行标定,即可用于测量。其他测量程序及计算方法与γ射线核素相同。
活度计使用应注意以下几点。
(1)活度计必须符合国家强制计量器具要求,经国家计量部门检定并有合格证书。
(2)活度计测量结果应记载测量日期和时间,测得的活度值应为供试品放射性活度标示值的90.0%~110.0%,或该品种项下规定的范围内。
(3)活度计必须稳定可靠,应配有长半衰期核素(如137Cs)监督源。
七、放射性药品有关规定
1.容器包装
放射性药品溶液应盛于盖有胶塞,能供多次抽用的小玻璃瓶内。按放射性防护的规定,容器表面辐射水平应符合规定。
2.有效期
系从说明书上放射性浓度测定的日期开始计算。已过有效期的药品,应停止使用,在有效期内产品如有异常情况,亦应停用。
3.标签和说明书
放射性药品的标签上应注明药品名称、生产单位、批准文号、批号、放射性药品标志等;说明书上应注明药品名称、化学状态、生产日期、批号、放射性浓度,并注明测定日期和时间、装量(ml)、放射性活度、有效期、生产单位、放射性药品标志、适应症、类别、用法、用量、规格、包装、贮藏、注意等。
表1 放射性药品中常用放射性核素物理性质

续表

续表

续表

续表

注:①β能谱的最大能量(maximum energy of the beta spectrum);
②源的总湮没相应的最大转换概率(maximum intensity corresponding to a total annihilation in the source);
eA表示俄歇电子(auger electrons);
ce表示内转换电子(conversion electrons)。