0901 溶液颜色检查法
本法系将药物溶液的颜色与规定的标准比色液比较,或在规定的波长处测定其吸光度。
品种项下规定的“无色”系指供试品溶液的颜色相同于水或所用无色溶剂,“几乎无色”系指供试品溶液的颜色不深于相应色调0.5号标准比色液。
第一法
除另有规定外,取各品种项下规定量的供试品,加水溶解,置于25ml的纳氏比色管中,加水稀释至10ml。另取规定色调和色号的标准比色液10ml,置于另一25ml纳氏比色管中,两管同置白色背景上,自上向下透视,或同置白色背景前,平视观察,供试品管呈现的颜色与对照管比较,不得更深。如供试品管呈现的颜色与对照管的颜色深浅非常接近或色调不完全一致,使目视观察无法辨别两者的深浅时,应改用第三法(色差计法)测定,并将其测定结果作为判定依据。
比色用重铬酸钾液 精密称取在120℃干燥至恒重的基准重铬酸钾0.4000g,置500ml量瓶中,加适量水溶解并稀释至刻度,摇匀,即得。每1ml溶液中含0.800mg的K2Cr2O7。
比色用硫酸铜液 取硫酸铜约32.5g,加适量的盐酸溶液(1→40)使溶解成500ml,精密量取10ml,置碘量瓶中,加水50ml、醋酸4ml与碘化钾2g,用硫代硫酸钠滴定液(0.1mol/L)滴定,临近终点时,加淀粉指示液2ml,继续滴定至蓝色消失。每1ml硫代硫酸钠滴定液(0.1mol/L)相当于24.97mg的CuSO4·5H2O。根据上述测定结果,在剩余的原溶液中加适量的盐酸溶液(1→40),使每1ml溶液中含62.4mg的CuSO4·5H2O,即得。
比色用氯化钴液 取氯化钴约32.5g,加适量的盐酸溶液(1→40)使溶解成500ml,精密量取2ml,置锥形瓶中,加水200ml,摇匀,加氨试液至溶液由浅红色转变至绿色后,加醋酸-醋酸钠缓冲液(pH 6.0)10ml,加热至60℃,再加二甲酚橙指示液5滴,用乙二胺四醋酸二钠滴定液(0.05mol/L)滴定至溶液显黄色。每1ml乙二胺四醋酸二钠滴定液(0.05mol/L)相当于11.90mg的CoCl2·6H2O。根据上述测定结果,在剩余的原溶液中加适量的盐酸溶液(1→40),使每1ml溶液中含59.5mg的CoCl2·6H2O,即得。
各种色调标准贮备液的制备 按表1精密量取比色用氯化钴液、比色用重铬酸钾液、比色用硫酸铜液与水,混合摇匀,即得。
表1 各种色调标准贮备液的配制

各种色调色号标准比色液的制备 按表2精密量取各色调标准贮备液与水,混合摇匀,即得。
表2 各种色调色号标准比色液的配制表

第二法
除另有规定外,取各品种项下规定量的供试品,加水溶解并使成10ml,必要时滤过,滤液照紫外-可见分光光度法(通则0401)于规定波长处测定,吸光度不得超过规定值。
第三法(色差计法)
本法是使用具备透射测量功能的测色色差计直接测定溶液的透射三刺激值,对其颜色进行定量表述和分析的方法。当目视比色法较难判定供试品与标准比色液之间的差异时,应采用本法进行测定与判断。
供试品溶液与标准比色液之间的颜色差异,可以通过分别比较它们与水之间的色差值来测定,也可以通过直接比较它们之间的色差值来测定。
现代颜色视觉理论认为,在人眼视网膜上有三种感色的锥体细胞,分别对红、绿、蓝三种颜色敏感。颜色视觉过程可分为两个阶段:第一阶段,视网膜上三种独立的锥体感色物质,有选择地吸收光谱不同波长的辐射,同时每一物质又可单独产生白和黑的反应,即在强光作用下产生白的反应,无外界刺激时产生黑的反应;第二阶段,在神经兴奋由锥体感受器向视觉中枢的传导过程中,这三种反应又重新组合,最后形成三对对立性的神经反应,即红或绿、黄或蓝、白或黑的反应。最终在大脑皮层的视觉中枢产生各种颜色感觉。
自然界中的每种颜色都可以用选定的、能刺激人眼中三种锥体细胞的红、绿、蓝三原色,按适当比例混合而成。由此引入一个新的概念——三刺激值,即在给定的三色系统中与待测色达到色匹配所需要的三个原刺激量,分别以X、Y、Z表示。通过对众多具有正常色觉的人体(称为标准观察者,即标准眼)进行广泛的颜色比较试验,测定了每一种可见波长(400~760nm)的光引起每种锥体刺激的相对数量的色匹配函数,这些色匹配函数分别用
、
、
来表示。把这些色匹配函数组合起来,描绘成曲线,就叫作CIE色度标准观察者的光谱三刺激值曲线(图1)。

图1 CIE 1931色度标准观察者的光谱三刺激值曲线
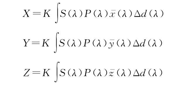
色匹配函数和三刺激值间的关系以下列方程表示:

式中 K为归化系数;
S(λ)为光源的相对光谱功率分布;
P(λ)为物体色的光谱反射比或透射比;
、
、
为标准观察者的色匹配函数;
Δd(λ)为波长间隔,一般采用10nm或5nm。
当某种颜色的三刺激值确定之后,则可用其计算出该颜色在一个理想的三维颜色空间中的坐标,由此推导出许多组的颜色方程(称为表色系统)来定义这一空间。如CIE 1931-XYZ色度系统、CIE 1964色度系统、CIE 1976L*a*b*色空间(CIELab均匀色空间)、Hunter表色系统等。
为便于理解和比对,人们通常采用CIELab颜色空间来表示颜色及色差。该色空间由直角坐标L*a*b*构成。在三维色坐标系的任一点都代表一种颜色,其与参比点之间的几何距离代表两种颜色之间的差异(图2,图3)。相等的距离代表相同的色差值。用仪器法对一个供试品与标准比色液的颜色进行比较时,需比较的参数是供试品和标准比色液颜色分别与空白对照的颜色在均匀色空间中的差值。

图2 L*a*b*色品图

图3 L*a*b*色空间和色差ΔE*
在CIELab均匀色空间中,三维色坐标L*a*b*与三刺激值X、Y、Z和色差值之间的关系如下:
明度指数L*=116×(Y/Yn)1/3-16
色品指数a*=500×[(X/Xn)1/3-(Y/Yn)1/3]
色品指数b*=200×[(Y/Yn)1/3-(Z/Zn)1/3]
色差
以上公式仅适用于X/Xn、Y/Yn、Z/Zn>0.008 856时。
式中 X、Y、Z为待测样品的三刺激值;
Xn、Yn、Zn为三刺激值;
ΔE*为供试品色与标准比色液色的色差;
ΔL*为供试品色与标准比色液色的明度指数之差,其中ΔL*为“正数”表示供试品比标准比色液颜色亮;
Δa*、Δb*为供试品色与标准比色液色的色品指数之差,其中Δa*、Δb*为“正数”表示供试品比标准比色液颜色更深。
色差计的工作原理简单地说即是模拟人眼的视觉系统,利用仪器内部的模拟积分光学系统,把光谱光度数据的三刺激值进行积分而得到颜色的数学表达式,从而计算出L*、a*、b*值及对比色的色差。在仪器使用的标准光源与日常观察样品所使用光源光谱功率分布一致(比如昼光),其光电响应接收条件与标准观察者的色觉特性一致的条件下,用仪器方法测定颜色,不但能够精确、定量地测定颜色和色差,而且比目测法客观,且不随时间、地点、人员变化而发生变化。
1 对仪器的一般要求
使用具备透射测量功能的测色色差计进行颜色测定,照明观察条件为0/0(垂直照明/垂直接收)条件;D65光源照明,10o视场条件下,可直接测出三刺激值X、Y、Z,并能直接计算给出L*、a*、b*和ΔE*。
因溶液的颜色随着被测定的溶液液层厚度而变,所以除另有规定外,测量透射色时,应使用1cm厚度液槽。由于浑浊液体、黏性液体或带荧光的液体会影响透射,故不适宜采用色差计法测定。
为保证测量的可靠性,应定期对仪器进行全面的检定。在每次测量时,按仪器要求,需用水对仪器进行校准,并规定在D65为光源,10o视场条件下,水的三刺激值分别为:
X=94.81;Y=100.00;Z=107.32
2 测定法
除另有规定外,使用第三法测定时,应首先使用2.2标准值法。如供试品测定结果高于标准色差值的98%,需使用2.1标准比色液法进行测定并以其测定结果进行判定。
2.1 标准比色液法 除另有规定外,用水对仪器进行校准,取按品种项下规定的方法分别制得的供试品溶液和标准比色液,置仪器上进行测定,供试品溶液与水的色差值ΔE*应不超过标准比色液与水的色差值ΔE*。
如品种项下规定的色调有两种,当供试品溶液的实际色调介于两种规定色调之间,应将测得的供试品溶液与水的色差值(ΔE*)与两种色调标准比色液与水的色差值的平均值比较,不得更深,即
。
2.2 标准值法 除另有规定外,用水对仪器进行校准,取按各品种项下规定的方法制得的供试品溶液,置仪器上进行测定,供试品溶液与水的色差值ΔE*应不超过标准色差值ΔE*(表3)。
如品种项下规定的色调有两种,当供试品溶液的实际色调介于两种规定色调之间,应将测得的供试品溶液与水的色差值(ΔE*)与两种色调标准比色液的标准色差值的平均值比较,不得更深,即
。
表3 标准比色液标准色差值表(ΔE*)
