0601 相对密度测定法
密度系指在规定的温度下,单位体积内所含物质的质量,即质量与体积的比值;相对密度系指在相同的温度、压力条件下,某物质的密度与水的密度之比。除另有规定外,温度为20℃。
纯物质的相对密度在特定的条件下为不变的常数。但如物质的纯度不够,则其相对密度的测定值会随着纯度的变化而改变。因此,测定药品的相对密度,可用以检查药品的纯杂程度。
液体药品的相对密度,一般用比重瓶(图1)测定;易挥发液体的相对密度,可用韦氏比重秤(图2)测定。液体药品的相对密度也可采用振荡型密度计法测定。

图1 比重瓶
1.比重瓶主体 2.侧管 3.侧孔 4.罩 5.温度计 6.玻璃磨口
用比重瓶测定时的环境(指比重瓶和天平的放置环境)温度应略低于20℃或各品种项下规定的温度。
1.比重瓶法
(1)取洁净、干燥并精密称定重量的比重瓶(图1a),装满供试品(温度应低于20℃或各品种项下规定的温度)后,装上温度计(瓶中应无气泡),置20℃(或各品种项下规定的温度)的水浴中放置若干分钟,使内容物的温度达到20℃(或各品种项下规定的温度),用滤纸除去溢出侧管的液体,立即盖上罩。然后将比重瓶自水浴中取出,再用滤纸将比重瓶的外面擦净,精密称定,减去比重瓶的重量,求得供试品的重量后,将供试品倾去,洗净比重瓶,装满新沸过的冷水,再照上法测得同一温度时水的重量,按下式计算,即得。

(2)取洁净、干燥并精密称定重量的比重瓶(图1b),装满供试品(温度应低于20℃或各品种项下规定的温度)后,插入中心有毛细孔的瓶塞,用滤纸将从塞孔溢出的液体擦干,置20℃(或各品种项下规定的温度)恒温水浴中,放置若干分钟。随着供试液温度的上升,过多的液体将不断从塞孔溢出,随时用滤纸将瓶塞顶端擦干,待液体不再由塞孔溢出,迅即将比重瓶自水浴中取出,照上述(1)法,自“再用滤纸将比重瓶的外面擦净”起,依法测定,即得。
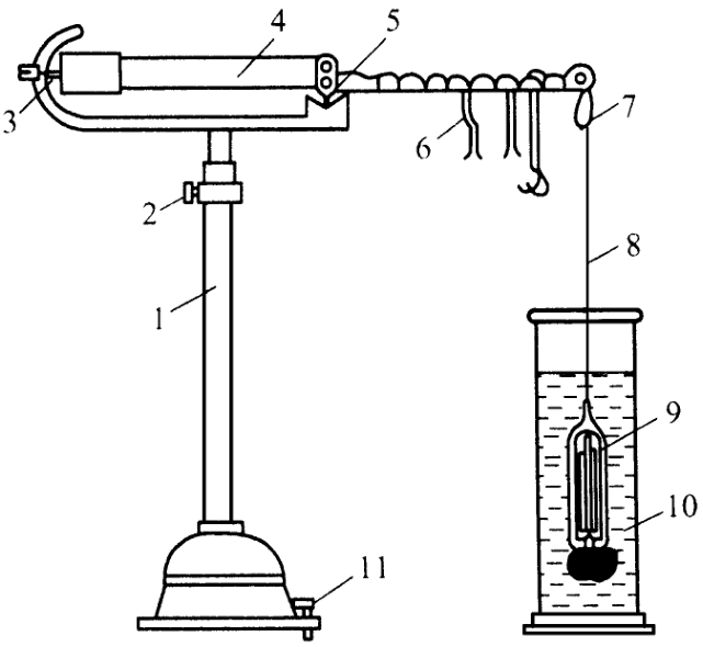
2.韦氏比重秤法
取20℃时相对密度为1的韦氏比重秤(图2),用新沸过的冷水将所附玻璃圆筒装至八分满,置20℃(或各品种项下规定的温度)的水浴中,搅动玻璃圆筒内的水,调节温度至20℃(或各品种项下规定的温度),将悬于秤端的玻璃锤浸入圆筒内的水中,秤臂右端悬挂游码于1.0000处,调节秤臂左端平衡用的螺旋使平衡,然后将玻璃圆筒内的水倾去,拭干,装入供试液至相同的高度,并用同法调节温度后,再把拭干的玻璃锤浸入供试液中,调节秤臂上游码的数量与位置使平衡,读取数值,即得供试品的相对密度。

图2 韦氏比重秤
1.支架 2.调节器 3.指针 4.横梁 5.刀口 6.游码 7.小钩 8.细铂丝 9.玻璃锤 10.玻璃圆筒 11.调整螺丝
如该比重秤系在4℃时相对密度为1,则用水校准时游码应悬挂于0.9982处,并应将在20℃测得的供试品相对密度除以0.9982。
3.振荡型密度计法
振荡型密度计主要由U型振荡管(一般为玻璃材质,用于放置样品)、电磁激发系统(使振荡管产生振荡)、频率计数器(用于测定振荡周期)和控温系统组成。
通过测定U型振荡管中液体样品的振荡周期(或频率)可以测得样品的密度。振荡频率(T)与密度(ρ)、测量管常数(c)、振荡管的质量(M)和体积(V)之间存在下述关系:

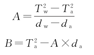
如果将c/(4π2×V)定义为常数A,M/V定义为常数B,则上述公式可简化如下:
ρ=A×T2-B
常数A和B可以通过往振荡管中加入两种已知密度的物质进行测定,常用的物质为脱气水(如新沸过的冷水)和空气。分别往样品管中加入干燥空气和脱气水(如新沸过的冷水),记录测得的空气的振动周期Ta和水的振动周期Tw,由下式计算出空气的密度值da:

式中 da为测试温度下的空气密度,g/ml;
t为测试温度,K;
p为大气压,kPa。
从表1中查出测得温度下水的密度值dw,照下述公式可分别计算出常数A和常数B:

式中 Tw为试样管内为水时观测的振荡周期,s;
Ta为试样管内为空气时观测的振荡周期,s;
dw为测试温度下水的密度,g/ml;
da为测试温度下空气的密度,g/ml。
如果使用其他校准液体,则使用相应的振荡周期T值和d值。
如果仪器具有从常数A和B以及样品测得的振荡周期计算密度的功能,则常数A和B无需计算,按照仪器生产商的操作说明直接读取供试品的密度值。
物质的相对密度可根据下式计算:
相对密度=ρ/0.9982
式中 ρ为被测物质在20℃时的密度;
0.9982为水在20℃时的密度。
对仪器的一般要求 用于相对密度测定的仪器的读数精度应不低于±0.001g/ml,并应定期采用已知密度的两种物质(如空气和水)在20℃(或各品种正文项下规定的温度)下对仪器常数进行校准。建议每次测量前用脱气水(如新沸过的冷水)对仪器的读数准确性进行确认,可根据仪器的精度设定偏差限度,例如精确到±0.0001g/ml的仪器,水的测定值应在0.9982g/ml±0.0001g/ml的范围内,如超过该范围,应对仪器重新进行校准。
测定法 照仪器操作手册所述方法,取供试品,在与仪器校准时相同的条件下进行测定。测量时应确保振荡管中没有气泡形成,同时还应保证样品实际温度和测量温度一致。如必要,测定前可将供试品温度预先调节至约20℃(或各品种正文项下规定的温度),这样可降低在U型振荡管中产生气泡的风险,同时可缩短测定时间。
黏度是影响测量准确度的另一个重要因素。在进行高黏度样品的测定时,可选用具有黏度补偿功能的数字式密度计进行测定,或者选取与供试品密度和黏度相近的密度对照物质(密度在供试品的±5%、黏度在供试品的±50%的范围内)重新校准仪器。
表1 不同温度下水的密度值
