0521 气相色谱法
气相色谱法系采用气体为流动相(载气)流经装有填充剂的色谱柱进行分离测定的色谱方法。物质或其衍生物气化后,被载气带入色谱柱进行分离,各组分先后进入检测器,用数据处理系统记录色谱信号。
1.仪器的一般要求
所用的仪器为气相色谱仪,由载气源、进样部分、色谱柱、柱温箱、检测器和数据处理系统等组成。进样部分、色谱柱和检测器的温度均应根据分析要求适当设定。
(1)载气源 气相色谱法的流动相为气体,称为载气,氦、氮和氢可用作载气,可由高压气瓶或高纯度气体发生器提供,经过适当的减压装置,以一定的流速经过进样系统和色谱柱;根据供试品的性质和检测器种类选择载气,除另有规定外,常用载气为氮气。
(2)进样部分 进样方式一般可采用溶液进样或顶空进样。
溶液进样采用微量注射器、微量进样阀或有分流装置的气化室进样;采用溶液进样时,进样口温度应高于柱温30~50℃;进样量一般不超过数微升;柱径越细,进样量应越少,采用毛细管柱时,一般应分流以免过载。
顶空进样适用于固体和液体供试品中挥发性组分的分离和测定。将固态或液态的供试品制成供试液后,置于密闭小瓶中,在恒温控制的加热室中加热至供试品中挥发性组分在液态和气态达到平衡后,由进样器自动吸取一定体积的顶空气注入色谱柱中。
(3)色谱柱 色谱柱为填充柱或毛细管柱。填充柱的材质为不锈钢或玻璃,内径2~4mm,柱长2~4m,内装吸附剂、高分子多孔小球或涂渍固定液的载体,常见粒径为0.125~0.15mm、0.15~0.18mm或0.18~0.25mm。常用载体为经酸洗并硅烷化处理的硅藻土或高分子多孔小球,常用固定液有甲基聚硅氧烷、聚乙二醇等。毛细管柱的材质为玻璃或石英,内壁或载体经涂渍或交联固定液,内径一般为0.25mm、0.32mm或0.53mm,柱长5~60m,固定液膜厚0.1~5.0μm,常用的固定液有甲基聚硅氧烷、不同比例组成的苯基甲基聚硅氧烷、聚乙二醇等。
新填充柱和毛细管柱在使用前需老化处理,以除去残留溶剂以及易流失的物质,色谱柱如长期未用,使用前应老化处理,使基线稳定。
(4)柱温箱 由于柱温箱温度的波动会影响色谱分析结果的重现性,因此柱温箱控温精度应在±1℃,且温度波动小于每小时0.1℃。温度控制系统分为恒温和程序升温两种。
(5)检测器 适合气相色谱法的检测器有火焰离子化检测器(FID)、热导检测器(TCD)、氮磷检测器(NPD)、火焰光度检测器(FPD)、电子捕获检测器(ECD)、质谱检测器(MS)等。火焰离子化检测器对碳氢化合物响应良好,适合检测大多数的药物;氮磷检测器对含氮、磷元素的化合物灵敏度高;火焰光度检测器对含磷、硫元素的化合物灵敏度高;电子捕获检测器适于含卤素的化合物;质谱检测器还能给出供试品某个成分相应的结构信息,可用于结构确证。除另有规定外,一般用火焰离子化检测器,用氢气作为燃气,空气作为助燃气。在使用火焰离子化检测器时,检测器温度一般应高于柱温,且不得低于150℃,以免水汽凝结,通常为250~350℃。
(6)数据处理系统 可分为记录仪、积分仪以及计算机工作站等。一般色谱图约于30分钟内记录完毕。
(7)色谱参数调整 品种正文项下规定的色谱条件(参数),除检测器类型、填充剂种类、固定液种类或特殊指定的色谱柱材料不得改变外,其余如色谱柱内径、长度、载体牌号、粒度、固定液涂布厚度、载气流速、柱温、进样量、检测器的灵敏度等,均可适当调整。
色谱参数允许调整范围见表1。
表1 色谱参数允许调整范围

调整后,系统适用性应符合要求,且色谱峰出峰顺序不变。在满足系统适用性要求的前提下,可适当调整进样量和分流比。若减小进样量或增大分流比,应保证检测限和峰面积的重复性满足要求;增大进样量或减小分流比,则应保证分离度和线性关系仍满足要求。应评价色谱参数调整对分离和检测的影响,必要时对调整色谱参数后的方法进行确认。若调整超出表中规定的范围或品种项下规定的范围,则认为是对方法的修改,需要进行充分的方法学验证。
调整程序升温色谱参数时应较调整等温色谱参数时更加谨慎,因为此调整可能会使某些峰发生位置变化,造成峰识别错误,或者与其他峰重叠,影响分离检测。
当对调整色谱条件后的测定结果产生异议时,应以品种项下规定的色谱条件的测定结果为准。
在品种项下一般不宜指定或推荐色谱柱的品牌,但可规定色谱柱的固定液种类、粒径、液膜厚度、色谱柱的柱长或柱内径等;当耐用性试验表明必须使用特定品牌的色谱柱方能满足分离要求时,可在该品种正文项下注明。
2.系统适用性试验
除另有规定外,应照高效液相色谱法(通则0512)项下的规定。
3.测定法
(1)内标法
(2)外标法
(3)面积归一化法
上述(1)~(3)法的具体内容均同高效液相色谱法(通则0512)项下相应的规定。
(4)标准溶液加入法 精密称(量)取待测成分对照品适量,配制成适当浓度的对照品溶液,精密量取适量,加入到供试品溶液中,按外标法或内标法测定加入对照品溶液后待测成分的总量,再扣除加入对照品的量,即得供试品溶液中待测成分的量。
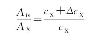
也可按下述公式进行计算,加入对照品溶液前后待测成分的校正因子应相同,即:

则待测成分的浓度cX可通过如下公式进行计算:

式中 cX为供试品溶液中成分X的浓度;
AX为供试品溶液中成分X的色谱峰面积;
ΔcX为加入对照品后成分X增加的浓度;
Ais为加入对照品后成分X的色谱峰面积。
由于气相色谱法的进样量一般仅数微升,为减小进样误差,尤其当采用手工进样时,留针时间和室温等对进样量也有影响,故以采用内标法定量为宜;当采用自动进样器时,由于进样重复性的提高,在保证分析误差的前提下,也可采用外标法定量。当采用顶空进样时,由于供试品和对照品处于不完全相同的基质中,故可采用标准溶液加入法,以消除基质效应的影响;当标准溶液加入法与其他定量方法结果不一致时,应以标准溶液加入法结果为准。