3208 人血白蛋白铝残留量测定法
第一法 原子吸收分光光度法
本法系用原子吸收分光光度法(通则0406)测定人血白蛋白制品中铝的残留量。
测定法 按表1精密量取供试品、100ng/ml标准铝溶液(精密量取100μg/ml标准铝溶液0.1ml,置100ml量瓶中,用0.15mol/L硝酸溶液稀释至刻度),分别制备空白对照溶液、供试品溶液和标准铝加供试品的混合溶液。照原子吸收分光光度法(通则0406)测定,选择铝灯,测定波长为309.3nm,狭缝为0.7nm。按表2设置石墨炉的干燥、灰化、原子化等炉温程序,精密量取空白对照溶液、供试品溶液和标准铝加供试品的混合溶液各30μl,分别注入仪器,读数。
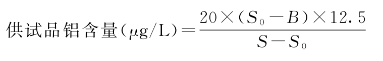
按下式计算:

式中 B为空白对照溶液读数;
S0为供试品溶液读数;
S为标准铝加供试品的混合溶液读数;
20为标准铝加供试品的混合溶液中标准铝的含量,μg/L;
12.5为供试品稀释倍数。
表1 空白对照、供试品及混合溶液的制备

表2 炉温控制程序

【附注】(1)供试品和标准铝取量可根据仪器性能进行适当调整,使读数在所用仪器可准确读数范围内。
(2)表2列出的炉温控制程序可根据仪器性能做适当调整。
(3)尽量避免使用玻璃容器。
第二法 电感耦合等离子体质谱法
本法系用电感耦合等离子体质谱法测定人血白蛋白制品中铝的残留量。
照电感耦合等离子体质谱法(通则0412)测定。
仪器参数的设置 应根据选用的电感耦合等离子体质谱仪型号的特点,合理设置仪器参数,并通过开启碰撞反应池等手段消除质谱型干扰。一般参考条件:射频功率为1400~1600W,采样深度6~10mm,雾化器/载气流速0.65~1.30L/min,载气补偿气流速0~0.65L/min,蠕动泵转速0.1转/秒,氦气模式,积分时间0.3~1.5秒,重复次数为3次。
试剂 5%(V/V)硝酸溶液 量取硝酸(65%~68%)25ml,用水稀释至500ml,混匀,即得。
内标溶液 精密量取钪标准品适量,用5%硝酸溶液稀释制成适宜的浓度,使进样浓度为50μg/L。
标准品溶液 精密量取铝标准品适量,用5%硝酸溶液稀释制成1000μg/L的溶液,作为铝标准品贮备液。精密量取铝标准品贮备液适量,用5%硝酸溶液分别稀释制成0、2.5μg/L、5μg/L、10μg/L、20μg/L、40μg/L的溶液。
供试品溶液 精密量取供试品1ml,加5%硝酸溶液9ml,涡旋混匀后静置4小时以上,以每分钟4000转离心30分钟,取上清液用0.45μm滤膜滤过,取续滤液作为供试品溶液。
测定法 分别取标准品溶液、供试品溶液和内标溶液注入电感耦合等离子体质谱仪,记录铝元素及内标元素的响应值。
以标准品溶液铝浓度为横坐标,对其相应铝元素与内标元素响应值的比值为纵坐标作直线回归,求得直线回归方程,直线回归相关系数应不低于0.999;将测得的供试品溶液铝元素与内标元素响应值的比值代入直线回归方程,计算供试品溶液中铝残留量,再乘以稀释倍数,即为供试品中铝残留量。
【附注】(1)本测定法应避免接触玻璃器皿。
(2)接触的耗材在使用前应用水荡洗。
(3)尽量减少环境中带入铝污染。
(4)应尽量选择低本底的硝酸试剂。
(5)本法为在线添加内标。如采用手动添加内标溶液,应在标准品溶液和供试品溶液的制备过程中同时添加内标溶液,使内标溶液进样浓度为50μg/L。